Изображение с сайта unsplash.com, автор — 1981 Digital.
Снова в школу: как Google ставит оценки продвигаемым сайтам в 2023 году
Поисковой системой Google пользуется примерно половина аудитории рунета — в ней выгодно продвигать сайты. Однако, в отсутствие платной рекламы, единственный способ получить новых пользователей — привлечь их из органической выдачи. Александр Шестаков, руководитель платформы линкбилдинга LinksSape, рассказывает об уникальной системе оценки продвигаемых страниц, которую использует Google и дает советы, как повлиять на нее, чтобы вывести сайт в топ.
Что такое PageRank
PageRank — алгоритм, основанный на совокупной относительной силе всех гиперссылок в Интернете. На заре создания Google именно на его базе ранжировались страницы в поисковой выдаче (SERP). Одна из проблем PageRank заключалась в том, что математические вычисления, хотя и простые, требовали итеративной обработки. Расчет выполняется несколько раз для каждой страницы и ссылки в Интернете. На рубеже тысячелетий обработка этих данных занимала не один день.
За прошедшее время поисковая выдача Google менялась неоднократно и часто — беспорядочно, нередко заставая SEO-специалистов врасплох. Кроме того, обнаружился существенный недостаток системы. Изначально считалось, что алгоритм Google не допускает спама, поскольку важность страницы диктуется не только ее содержанием, но и своего рода «системой голосования», создаваемой ссылками на страницу.
PageRank начал работать уже не так точно по мере роста индустрии входящих ссылок. Поэтому Google удалил его из публичного доступа после 2016 года, но продолжал использовать в своих алгоритмах ранжирования. Однако к этому времени инструмент Majestic смог достаточно хорошо соотнести свои собственные расчеты с PageRank.
Изначально Google был готов публично делиться результатом своих расчетов с широкой аудиторией. Наиболее заметным примером было расширение панели инструментов для браузеров, например, Firefox, которое показывало оценку от 0 до 10 для каждой страницы в Интернете.
В частности, благодаря этому и удалось выяснить, что входящие ссылки — самый простой способ повлиять на алгоритмы Google. И сегодня исследования показывают преобладающую важность ссылочного профиля для определения позиций в поисковой выдаче.

В итоге сформировался вторичный рынок покупки и продажи ссылок. SEO-специалистам стало чрезвычайно легко манипулировать методами ранжирования поисковых систем.
При этом, зачастую, на первое место выходило именно количество ссылок, а не их качество, что приводило к ситуациям, когда самый большой ссылочный профиль обеспечивал вывод в топ. Подобная ситуация команду поисковой системы не устраивала, что привело к изменению алгоритмов ранжирования.
Принцип работы PageRank
Расчет PageRank имеет несколько форм, но в целом сводится к следующему. Первоначально каждой странице в Интернете присваивается приблизительный рейтинг — традиционно в виде оценки от 0 до 10, хотя на практике не ограниченный этим диапазоном. Затем PageRank этой страницы делится на количество ссылок с нее, в результате чего получается меньшая доля. Далее PageRank распределяется по связанным адресам и то же самое делается для всех остальных страниц в Интернете.
В следующей итерации алгоритма новая оценка представляет собой сумму всех долей, ссылающихся на каждую страницу. Помимо этого в формулу также был включен так называемый «коэффициент затухания». Он отображал вероятность того, что пользователь, заходящий на страницу через некоторое время потеряет интерес к данному запросу. Поэтому перед началом каждой последующей итерации алгоритма предлагаемый новый PageRank уменьшается на коэффициент затухания.
Данный процесс повторяется до тех пор, пока показатели PageRank не достигнут устойчивого равновесия. Полученные числа затем для удобства обычно переводились в более узнаваемый и понятный широкой аудитории диапазон от 0 до 10.
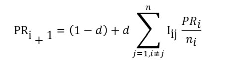
Некоторые специалисты пытались вывести PageRank в виде математической формулы. Например, у SEO-эксперта Диксона Джонса он приобрел следующий вид:

- PR — PageRank в следующей итерации алгоритма.
- d — коэффициент затухания.
- j — номер уникальной страницы в Интернете.
- n — общее количество страниц в Интернете.
- i — итерация алгоритма (изначально установлено как 0).
Изображение предоставлено агентством Demis Group с сайта https://www.demis.ru/
Впрочем, если страница ни на кого не ссылается, формула не достигнет равновесия. В этом случае PageRank будет распределяться между каждой страницей в Интернете и они, даже не имея входящих ссылок, могут получить некоторый PageRank, хотя он и не будет значимым.
Еще одна менее очевидная проблема заключается в том, что новые страницы, хотя и потенциально содержащие более важный контент, чем старые, имеют низкий PageRank. При этом само время существования страницы в алгоритме не учитывается. Таким образом, со временем старый контент может получить непропорционально высокий PageRank, хотя это не будет обуславливаться его востребованностью, актуальностью и релевантностью.
Пример расчета PageRank
Когда новые страницы появляются в сети, они начинают с небольшого значения PageRank. Но когда другие страницы начинают ссылаться на них, этот показатель со временем увеличивается, в зависимости от того, каков был этот параметр у страниц-доноров.
Если страница имеет PageRank 5 и 10 исходящих ссылок, то каждому адресу, на которую она ссылается, присваивается 0,5 PageRank (без учета коэффициента затухания). Таким образом, PageRank перемещается по Интернету между итерациями.
Судьба PageRank сегодня
Хотя публичный доступ к PageRank был закрыт в 2016 году, считается, что этот рейтинг по-прежнему доступен в Google. Также после утечки информации об алгоритмах, используемых в Яндексе, выяснилось, что и эта поисковая система использует PageRank при оценке сайтов.
Предположительно, первоначальная форма PageRank была заменена новой версией, для расчета которой требуется меньше вычислительных мощностей. Хотя сегодня роль этого алгоритма менее важна для ранжирования страниц Google, он все равно имеет значение. И, скорее всего, PageRank остается встроенным во многие поисковые системы и по сей день.
О чем это говорит SEO-специалистам
Ключевым способом получить высшую оценку PageRank были и остаются внешние входящие ссылки. Поэтому грамотная стратегия линкбилдинга, помимо улучшения прочих факторов ранжирования, позволит поднять и PageRank тоже. Это — еще один весомый довод в пользу более активной внешней оптимизации сайтов:
- Чем чаще качественные площадки ссылаются на продвигаемый ресурс, тем выше вероятность, что поисковых систем сочтут его авторитетным, релевантным и достойным более высоких позиций в поисковой выдаче.
- Не следует гнаться за количеством входящих ссылок только для того, чтобы получить высокую оценку по одному из старейших алгоритмов — выгоднее сделать упор на качество ссылочного профиля.
- Выбирая между разными источниками ссылок, ориентируйтесь на ресурсы схожей тематики, как на наиболее релевантные. Если таковых ресурсов в вашей нише немного, ищите тематически близкие страницы.
- Усиливайте ссылки, которые уже ведут на продвигаемый вами сайт. Если вы будете проставлять новые арендные ссылки на страницы-доноры, вес их ссылок и их PageRank начнет расти, что положительно скажется и на вашем проекте.
О том, как получить качественные входящие ссылки, а также дополнительно усилить их, можно узнать больше из бесплатного гайда Sape по SEO и линкбилдингу.